卡车之家 来卡车之家App
及时获取
最新卡车资讯
你好, 网站地图
卡车之家,商用车互动服务平台 全国
选择地区
全国 北京 河北 江苏 浙江 山东 河南 广东 上海 四川 重庆 山西
扫码下载APP

微信扫一扫下载详情

关注微信

微信扫一扫关注详情

轻卡 重卡 微车 牵引车 载货车 自卸车 皮卡 挂车 专用车 总成/配件 电动车
卡车之家
您的当前位置:首页 > 评测与技术 > 技术分析

探索材料新思路 铝在商用车上应用介绍

●  1.简介

    欧洲为铝的结构设计的新代码,作为本章的基础。标准名称是:
    EN 1999 Eurocode 9:铝结构的设计
    Part 1-1 一般结构规则
    Part 1-2 防火结构设计
    Part 1-3 易疲劳结构
    Part 1-4 由于冷形成结构的护墙板
    Part 1-5 框架结构
    Part 1-1 为静态设计使用,Part 1-3 在本章为“疲劳”设计。

    欧洲新标准正开发铝的结构性,不久将公开。建议使用相关标准执行在商用车的铝部件。

    标准名称是:EN 1090-3:钢结构的实行,铝结构--Part 3:铝结构的技术要求。

●  2.铝的潜能

    铝设计的优势:

    高强度与重量的比率

    可以通过挤压工艺创造您自己要求的截面

    很好的抗腐蚀性

    车辆使用寿命长

    易使用

    易修理

    特别为产品设计,使用量身定做的型材与其他金属相比,铝具有巨大的优势。在外形设计中,这种材料可以作为最佳的。相关细节是,它可以缓解制造及铸造的相关组件。

●  3.符号含义

    本节定义的经常使用的标志
    Fo 0.2%保证强度(弹性极限强度)的特征值
    Fu 极限抗拉强度特征值
    Fub 螺栓拉伸极限强度
    E 弹性系数
    d 螺栓直径
    do 孔直径
    t 壁厚
    A 横截面积
    W 截面系数
    γM 抵抗力的部分安全因素,在EN 1999-1-1:
    脚标Ed 用于的负载效应。这可能是对轴向里(NEd),弯矩(MEd),剪切力(VEd),扭转(TEd),螺栓连接力((Fv,Ed代表剪切力,Ft,Ed代表张力)。

●  4.铝与钢的对比

    铝和钢是相对高强度金属。材质均不可燃,也不会助燃。对于结构用途的主要区别有:

    弹性:铝的弹性系数是钢的1/3。这意味着相同截面的铝和钢有相同的负载时,钢要偏转三倍。

    重量:铝的密度是钢的1/3。这意味着,在相同截面的情况下,钢的重量要比铝重3倍。

    焊接:当焊接硬化铝合金,一些硬化的效果将会消失。在受热区域(HAZ)的影响下,强度将减少。

    这样的减少,取决于合金,韧度,产品类型,焊接工艺。通常情况下,钢在焊接后强度不会减少。

    热延长:铝的热延长的系数是钢的两倍。这意味着,具有相同温度差异,铝和相似的钢,铝将得到2倍的热延长。由于铝的弹性系数是钢的1/3,铝的固定压力,是相似钢的2/3。

    大多数铝合金结构有相对高的“强度与E系数”的比率。当铝合金应变硬化或热处理时,这种效果尤其明显。铝合金结构比标准钢的比率多两倍。然而,当与高强度的刚想比较时,铝合金构造有相同的“强度于E系数”的比率。还应指出的是,合金的弹性系数主要取决于它的同族金属。换句话说,所有的铝合金都有相似的E-系数,但这也适用于钢合金。因此,所谓的“高强度钢”没有比低碳钢更好的弹性性能。钢的设计师经常用材料的强度作为控制的标准,当设计钢的结构和检查后,是否偏转是其中的要求。

    当设计铝结构时,它经常会偏离标准进行操控。出于这个原因,设计过程将开始偏向别的标准,它将被检查,之后如果结构的压力或抵抗力在限度之中。

    偏转下弯曲的荷载取决于弹性系数(E)并且在负载和跨度的惯性同时存在。在同样的跨度和负载下,它将是E x I产品,决定转向问题。

    要得到钢和铝同样弯曲程度的偏离,铝的惯性必须是钢的三倍。如果增加惯性是可以做到的仅仅是增加厚度及flanges就可以了,铝和钢将有同样的重量。

    为了减少重量,铝要弯曲的程度更大些。例子将说明这个问题,铝将有和IPE 240钢相同的偏转。惯性和IPE 240的质量。

    I=38.9·106mm4.
    mass=30.7kg/m.

    铝必须有惯性I=116.7·106mm4达到相同的偏离。

    如果铝合金的高度是240mm,这将符合I240x240x12x18.3的惯性,质量是
    I=116.6·106mm4
    mass=30.3kg/m

     如果铝合金的高度是300mm,偏离标准将满足I300x200x6x12.9的惯性I=116.7·106mm4,质量=18.4kg/m,节省40%的重量。

探索材料新思路 铝在商用车上应用介绍

     I330x200x6x10将有的惯性I=117.3·106mm4,质量=15.8kg/m,节省49%的重量。 这三个不同的铝将和IPE 240一样有相同的偏离。这将是beam的稳定性和形状,将决定beam的重量。表VI.1显示,beam和重量有所减轻。

探索材料新思路 铝在商用车上应用介绍

    铝结构的压力设计根据偏离标准经常会很低。在接下来钢beam的例子中,IPE 240和铝beam I330x200x6x10相比较(两个beam在表VI.1中都有显示)。偏离标准是跨度(24mm)的1/250,跨度是6000mm,负载是11.6kN/m。图VI.1,钢S355应力应变的曲线和铝EN AW-6082 T6是有显示的。钢和铝beam的应力应变也是有显示的。在相同的偏离下,相同的负载和相同的跨度,钢beam有161 MPa的弯曲压力,同时铝beam有73 MPa的弯曲压力。当弯曲24mm时,压力达到最大值。

●  5.极限状态设计

    极限状态设计和部分安全因素方法是新设计标准的基础。欧洲标准EN 19xx在城市工程师是所有材料的基础。铝的实际标准是:

    EN 1990 Eurocode—机构设计的基础
    EN 1991 Eurocode 1—结构上采取措施。全部
    EN 1999 Eurocode 9—铝结构的设计
    EN 1990给部分负荷的安全和规则因素荷载组合有不同的动作效果。
    EN 1991给结构和建筑物提供特殊的负载,像自重,活的荷载,风荷载,雪荷载,交通负载等等。
    EN 1999为铝结构设计规则。

    什么是最终极限状态

    最终极限状态是安全结构被预算的条件。结构将瓦解,设计按照最终极限状态将避免结构的失败。

    部分安全系数的阻力(γM)应顾虑强度性能的散射和几何横截面。用于连接部分的安全系数将兼有在缝隙的不确定性,在螺栓和螺栓的配置。负载效应(γF)的部分安全因素顾虑确定散射,负荷的概率,在不同负荷的组合。不同安全因素不同于负载类型,他们肯定他们是如何组合的。横载(结构的自重)有部分低的安全因素,而活载(例如,各方面的力量,是可变的,在运行期间,例如,货物的重量,道路震动等等)具有较高的局部安全系数。

    条件满足: Rk/γM≥γF·Ek

    Rk是阻力的特征值;它可以轴向拉伸和挤压,弯曲,剪切或阻力合并。

    Ek是负载效应的特殊价值;它可轴向拉伸或挤压,弯曲,在一个截面或连接面剪切或结合负载效应。

    γM是抵抗部分安全因素,也经常称之为物质因素。

    γF是负载效应的部分安全因素,也常称之为负载因素。图VI.2中有相关显示。

探索材料新思路 铝在商用车上应用介绍

    部分安全因素的典型价值,部分阻力是1.10(gM1),,螺栓是1.25(γM2 and γMw)。铆钉连接和焊接连接。这些材料因素是为建筑物和土木工程,也常用于结构设计,因为材料,几何尺寸及连接制造几乎于铝结构相似。

    什么是正常使用极限状态

    使用极限状态是正常使用及现状太必须得到满足的一个条件。使用最多的使用极限状态是:
    在各个方面的偏转极限,像震动一样的动态效果

    正常使用极限状态抵抗(gM)部分安全因素和负载效应(γF)的部分安全因素是1.0。

●  6.使用极限服务状态

    所有的预算在使用极限服务状态都是弹性计算。弹性变形是被计算和极限偏离的比较。震动的大小以同样的方式被计算出来。如果震动有很高的周期,变量元素和连接细节,要做疲劳检查。
通常情况下,弹性偏离的计算基于总截面变量元素的惯性。在第四类(请见section 7.2.4 in EN 1999-1-1)截面的变量元素,有必要减少惯性,如果强调压缩部分的截面比强调局部发生弯曲要高。

    计算截面偏离第四类变量元素的惯性:

探索材料新思路 铝在商用车上应用介绍

    σgr是在截面上,基于总截面的特性,压力压缩极限服务状态上的最大值。

    lgr总截面的瞬间惯性

    leff是有效截面在最终极限状态的瞬间惯性,局部弯曲的宽限。

    7.1. 横截面类

    截面分为四类。在表VI.2,不同的类型确定怎样的截面,在压缩和弯曲时。这与截面的阻力(承重能力)有直接的关系。截面薄的部分也许系在压力最低的地方,这将减少截面的阻力。这是考虑到横截面的分类规则。

探索材料新思路 铝在商用车上应用介绍

    EN 1999-1-1,6.1.4规定如何给截面分类。β值(例:宽与厚的比)是可算的:

探索材料新思路 铝在商用车上应用介绍

    b=截面部分的宽,t=相应厚度,η=取决于压力的值和如果部分是外在的或内部是截面。

探索材料新思路 铝在商用车上应用介绍

    不同类别或焊接非焊接或外在内在部分分别给β值不同的限制。

    大部分铝在商务车结构将在重量上被优化。截面第一类和第二类将因此很少被使用。

    第三类和第四类的截面的弹性设计将呈现常态。

    7.2. 承重阻力

    承重阻力总是比负载效应的因素高。EN 1999-1-1规定计算不同变量元素承重阻力要通过不同的负载效应。在表VI.3,一些规则列表请参考:

    7.3. 焊接连接

    7.3.1. 普遍性

    EN 1999-1-1规定,第8.6,通过MIG或TIG适用于结构焊接,按照EN 1090-3的焊缝质量。持证焊接被强烈推荐。

    被推荐的焊接消耗品有:

    第VIII节,第3.8部分
    EN 1999-1-1,第3.3.4部分
    EN 1011-4

    当焊接硬化铝合金时,部分硬化效果被毁坏。焊接连接可以有三个优势:

    同族材质(fo)之一(非热效应)
    处于热效应区域(fo,HAZ)
    焊接金属之一(fw)
    通常情况下,有必要检验在HAZ和焊接的压力。

    在HAZ下的强度取决于合金,韧度,产品类型,焊接部分。价值在EN 1999-1-1表3.2。

    焊接的强度(焊接金属)依赖于填充金属(焊接消费品)并且合金被焊接。

    价值在EN 1999-1-1表8.8中体现。

    没有后盾的单面对接焊缝几乎不可能焊接在铝上。如果不能避免单面对接焊缝,有效接缝厚度可以被视为:

    为J和U型共同筹备深度

    共同筹备深度减去3毫米或是25%,任何比V或斜角型少。

    除了单面对焊,角的焊缝用于弥补焊接的低渗透。

    当设计一些焊接措施时应注意的是:

    为焊接槽提供一个很好的接口。设备的焊接头通常用来焊接铝是最够大的,因此在接缝附近要有足够大的空间。

    好的接口也需要检查接缝。全部接缝将100%被肉眼检查再加上一些非破坏性的测试(NDT)。
    全面渗头单面焊接不可能焊接没有后盾。
    如果可能,接缝位置的压力将很低。

    7.3.2. 焊接处

    重负荷元素应该焊接全面渗透的焊接。全面渗透焊接的有效厚度应该应该被视为和最薄连接的厚度。有效长度应该被视为总长,如果运行与非运行的板材被使用。如果不是,那么板长将减少为有效厚度的两倍。(图VI.3)

探索材料新思路 铝在商用车上应用介绍

    焊接设计公示:正常压力,张力或压缩力,垂直于焊接轴:

探索材料新思路 铝在商用车上应用介绍

    剪切压力:

探索材料新思路 铝在商用车上应用介绍

    结合正常压力和剪切压力:

探索材料新思路 铝在商用车上应用介绍

探索材料新思路 铝在商用车上应用介绍

    7.3.3. 角焊缝

探索材料新思路 铝在商用车上应用介绍

    角焊缝定义焊缝厚度用毫米。
    图VI.4显示如何测量焊缝厚度。
    有效长度可被视为焊接总长:
    焊接长度至少是焊缝厚度的八倍。
    焊接长度不超过焊缝厚度的100倍在非平均压力分配下。
    压力分布和焊接长度一样均为常数。

探索材料新思路 铝在商用车上应用介绍

    作用在角焊缝上的压力将被解析为压力单位元素,相对间距部分(请看图VI.7)这些单位元素为:
    σ⊥:垂直于间距的正常压力
    σ∥平行于焊缝轴线T的正常压力
    τ⊥作用在间距垂直于焊缝的剪切力
    τ∥作用在间距平行于焊缝的剪切力
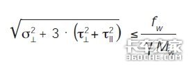
    角焊缝的设计公式:

探索材料新思路 铝在商用车上应用介绍

探索材料新思路 铝在商用车上应用介绍

    7.3.4. 热效应区

    热效应区的压力必须被检查。为焊接和角焊缝计算最小飞机的压力。以下(ref. BS 8118)描述了飞机的焊接(Figures VI.8, VI.9,VI.10, VI.11)

探索材料新思路 铝在商用车上应用介绍

    W:焊接金属,检查焊接

    F:热效应区,检查融合边界

    T:热效应区,检查截面

    7.4. 螺栓连接

    螺栓连接规定,在EN 1999-1-1,第8.5条,

探索材料新思路 铝在商用车上应用介绍

    最小,常规,最大空间,底和边缘的的距离的螺栓,请见表VI.4。

探索材料新思路 铝在商用车上应用介绍

    d0是孔的直径,t=板材的厚度
    适合螺栓的最大通径是0.3毫米非适合螺栓是1.0毫米。
    螺栓连接的失效模式可以是:
    分段模式,沿着剪切一组螺栓,一排螺栓剪切失败,沿着面对一组螺栓的张力。
    螺栓剪切失败
    螺栓孔剪切失败
    螺栓的张力失败
    冲压剪切螺栓头或螺母
    结合剪切及拉伸失败

探索材料新思路 铝在商用车上应用介绍

探索材料新思路 铝在商用车上应用介绍

    连接细节通过拉伸力量,拉伸不直接通过螺栓,螺栓上要有额外的效力。这些效力被称为窥探效力(Q)并且他们相当重要。请见图VI.12。

文章标签:
上一页56789...19下一页阅读全文
提示:支持键盘"← →"键翻页
条网友评论

下一篇

2011年9月快递收入为71亿 同比增30.6%

1-9月,邮政企业和全国规模以上快递服务企业业务收入(不包括邮政储蓄银行直接营业收入)累计完成1164亿元,同比增长22.8%;业务总量累计完成1167.3... 2011年10月20日
我要评论 意见反馈