卡车之家 来卡车之家App
及时获取
最新卡车资讯
你好, 网站地图
卡车之家,商用车互动服务平台 全国
选择地区
全国 北京 河北 江苏 浙江 山东 河南 广东 上海 四川 重庆 山西
扫码下载APP

微信扫一扫下载详情

关注微信

微信扫一扫关注详情

轻卡 重卡 微车 牵引车 载货车 自卸车 皮卡 挂车 专用车 总成/配件 电动车
卡车之家
您的当前位置:首页 > 行情导购 > 降价促销
庆铃五十铃

上海众铃团购第二波 你想不到的超低价

2015年526日—2015年6月30日,上海众铃团购第二波,五十铃现车特卖会,全市最低价,多款现车等你来抢。

上海众铃团购第二波 你想不到的超低价

●  活动详情

活动时间:2015年5月26日-2015年6月30日
活动地点:上海众铃汽车销售服务有限公司
具体地点:徐汇区龙吴路2628号
报名方式来电/店报名:4008260998

活动亮点

1、全市最低价
2、赠送1000元精品券或维修券
3、来店咨询即可领取精美茶叶一份

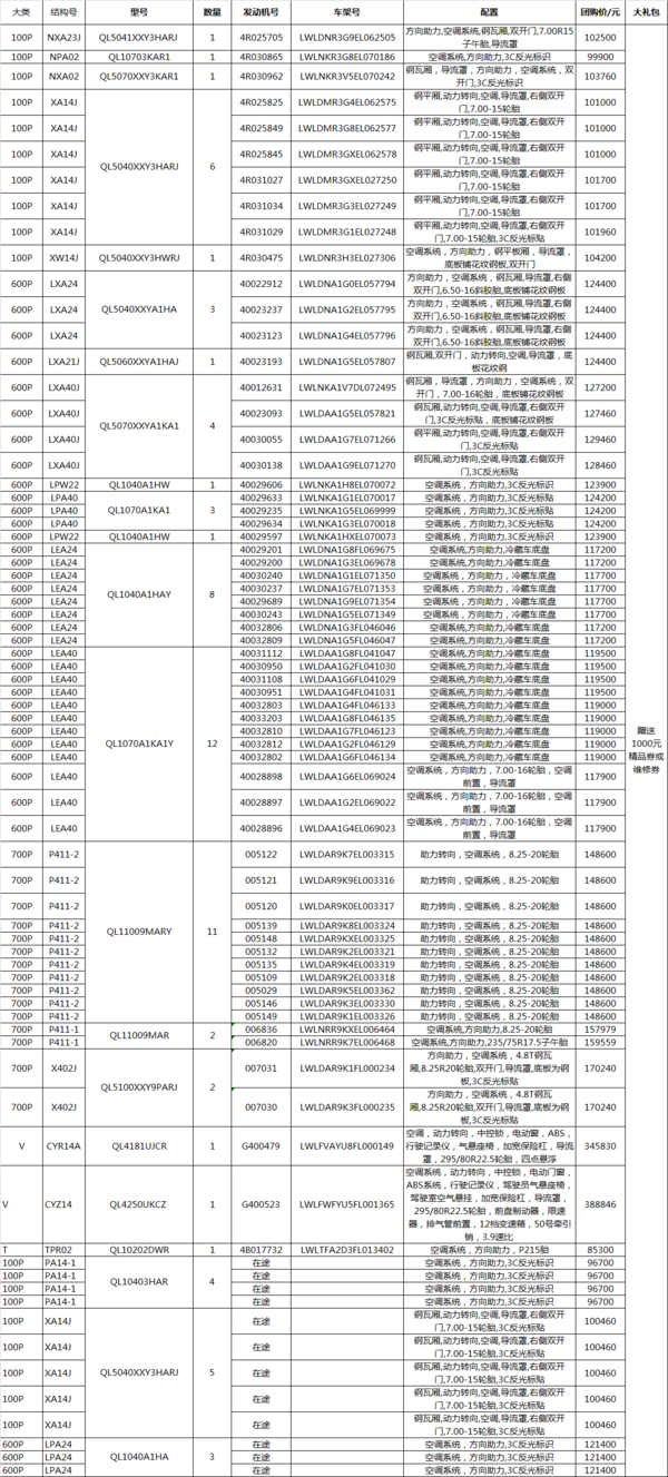
●  车型详情

上海众铃团购第二波 你想不到的超低价

此次活动保障所有价格和细节公开公正。活动规模前所未有、优惠力度更是空前绝后,优惠力度秒杀其他各类活动。活动时间截止至6月30日,如果您没有来过,没有销售顾问通知您,那么请您拨打公司热线电话,我们会有骨灰级销售员接待您!

如您在购车时提及您是来自“卡车之家网站”的用户,将会获得更多的优惠。

相关链接——

更多详情请咨询当地经销商

经销商名称:上海众铃汽车销售服务有限公司
联系  电话:400-859-8565
经销商地址:上海市徐汇区龙吴路2628号

●  相关阅读

前十台有iPad送 杰狮+半挂后翻自卸促销

跃进轻卡大型展沈阳首站 现场订购送礼

注:本文为经销商投稿,目的是为给读者带来更为丰富的资源信息。卡车之家对文中陈述、观点判断保持中立,不对所包含内容的准确性、可靠性或完整性提供任何明示或暗示的保证。请读者仅作参考,并请自行承担全部责任。

条网友评论

下一篇

送3000元豪礼 凌源轻卡最长可享2年质保

近日,记者从市场上了解到,一汽凌源全新国IV轻卡已在国内各区域上市,即日起购车的客户,除享受最长可达两年或20万公里的保修政策外,更可获赠价值3000... 2015年05月26日
我要评论 意见反馈