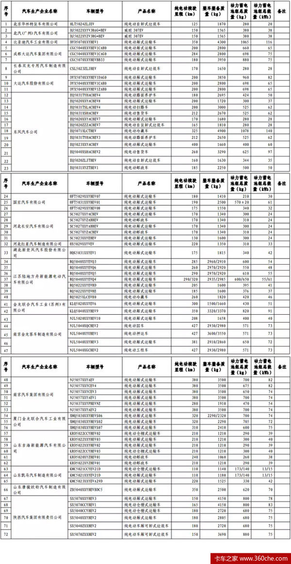
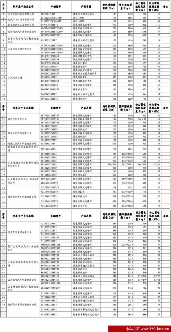
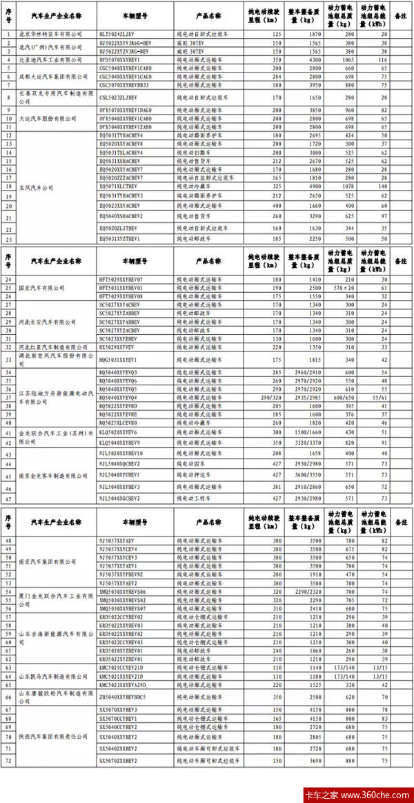
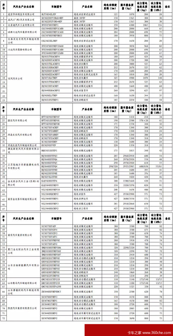
【卡车之家 原创】日前,工信部联合国家税务总局,共同发布了第八批《免征车辆购置税的新能源汽车车型目录》。该目录共涉及纯电动货车3款、纯电动牵引车1款,以及纯电动货车103款。从现在开始,购买以上相关车型的用户将无需缴纳车辆购置税。
● 第八批《免征车辆购置税的新能源汽车车型目录》卡车部分
纯电动牵引车

纯电动货车

纯电动专用车


● 编后语:
从本次发布的《免征车辆购置税的新能源汽车车型目录》中可以看出,纯电动专用车的数量正在快速增长,对于新能源商用车的发展有巨大影响。而纯电动牵引车的开发也在逐步推进,预计在续航里程有大幅突破后,该车型的市场也会迅速扩张。(文/王建鑫 图/网络)
● 相关阅读:
深圳放宽新能源物流车 限行范围再缩小
斯太尔増程器首发 破解新能源续航难题